SCERT Class 10 Advanced Mathematics জটিল সংখ্যা Exercise 2.3 সমাধান (Solution) অসমীয়া মাধ্যমত | পৰীক্ষাৰ বাবে গুৰুত্বপূর্ণ প্ৰশ্ন আৰু উত্তৰ | PDF ডাউনলোড কৰক & সম্পূৰ্ণ সমাধান লাভ কৰক!
Follow Us
| Join Now | |
| Join Now | |
| Telegram | Join Now |

SCERT Class 10 Adv. Mathematics : Complex Number
অসম মাধ্যমিক শিক্ষা পৰিষদ (SEBA) অসমৰ দশম শ্ৰেণীৰ শিক্ষাৰ বাবে পাঠ্যক্ৰম নিৰ্ধাৰণ, পৰীক্ষা পৰিচালনা আৰু প্ৰমাণপত্ৰ প্ৰদান কৰে। এই পৰ্যায়ত শিক্ষাৰ্থীসকলে বিভিন্ন বিষয় অধ্যয়ন কৰে, যেনেঃ অসমীয়া, ইংৰাজী, গণিত, বিজ্ঞান, সমাজ বিজ্ঞান, আৰু বাণিজ্যিক শিক্ষা। পাঠ্যক্ৰম আৰু পাঠ্যপুথি
SEBA-ৰ দ্বাৰা প্ৰদান কৰা পাঠ্যক্ৰমৰ অধীনত দশম শ্ৰেণীৰ শিক্ষাৰ্থীসকলে নিম্নলিখিত বিষয়সমূহ অধ্যয়ন কৰে
প্ৰতিটো বিষয়ৰ বাবে SEBA-ৰ দ্বাৰা নিৰ্ধাৰিত পাঠ্যপুথি ব্যৱহাৰ কৰা হয়। এই পাঠ্যপুথিসমূহ SEBA-ৰ চৰকাৰী ৱেবছাইটত উপলব্ধ।

জটিল সংখ্যা (Exercise - 2.3)
1. তলৰ জটিল সংখ্যাবোৰে প্রতিনিধিত্ব কৰা বিন্দুবোৰ আৰ্গাণ্ড সমতলত স্থাপন কৰা -
(a) 3 - 2i
(b) (1 - 2i)(2i + 5)
(c) - 7i
(d) 8
(e) 5 - 4i
(f) z, য'ত z হ'ল 4 - 3i ৰ সংযুগ্ম।
(a) 3 - 2i
Solution :
Given,
3 - 2i = (3, - 2), ধৰা হ'ল, এইটো A
(b) (1 - 2i)(2i + 5)
Solution :
Given,
(1 - 2i)(2i + 5) = 2i + 5 + 4 - 10i
= 9 - 10i
= (9, - 10), ধৰা হ'ল, এইটো B
(c) - 7i
Solution :
Given,
- 7i = (0, - 7), ধৰা হ'ল, এইটো C
(d) 8
Solution :
Given,
8 = (8, 0), ধৰা হ'ল, এইটো D
(e) 5 - 4i
Solution :
Given,
5 - 4i = (5, - 4) ধৰা হ'ল, এইটো E
(f) z, য'ত z হ'ল 4 - 3i ৰ সংযুগ্ম।
Solution :
Given,
4 - 3i ৰ সংযুগ্ম = 4 + 3i
= (4, 3), ধৰা হ'ল, এইটো F

YouTube Channel
| Assam TET Academy | Subscribe Now |
| Career Wallah | Subscribe Now |
2. তলৰ প্ৰতিটো সংখ্যাৰে মাপাংক নির্ণয় কৰা -
(a) 4 - 3i
(b) - 6 + 8i
(c) (3 + 4i)(5 + 12i)
(d) (3 + 4i)/(5 + 12i)
(e) (1 - i)- 2 + (1 + i)- 2
(f) 1/(1 + i)
(g) (1 - i)/(1 + i)
(a) 4 - 3i
Solution :
Let, z = 4 - 3i
.'. |z| = √{42 + (- 3)2}
= √{16 + 9}
= √25
= 5
(b) - 6 + 8i
Solution :
Let, z = - 6 + 8i
.'. |z| = √{(- 6)2 + 82}
= √{36 + 64}
= √100
= 10
(c) (3 + 4i)(5 + 12i)
Solution :
Let, z = (3 + 4i)(5 + 12i)
= 15 + 36i + 20i - 48
= - 33 + 56i
.'. |z| = √{(- 33)2 + 562}
= √{1089 + 3136}
= √4225
= 65
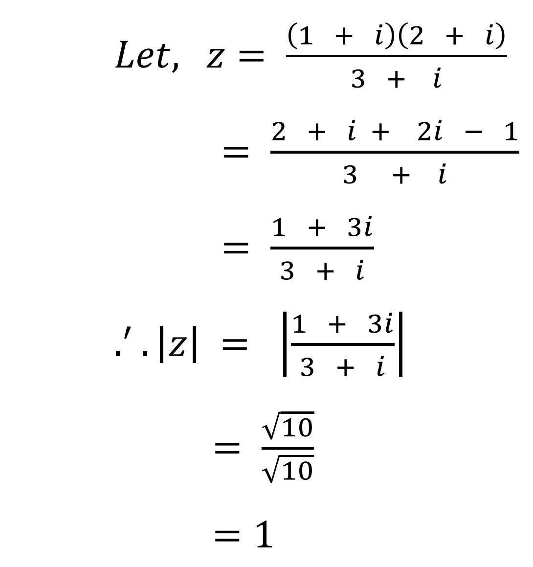
(d) (3 + 4i)/(5 + 12i)
Solution :
.png)
(e) (1 - i)- 2 + (1 + i)- 2
Solution :
.png)
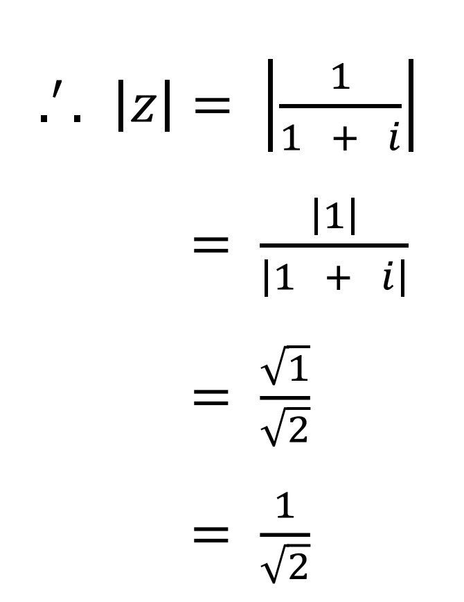
(f) 1/(1 + i)
Solution :
Let, z = 1/(1 + i).png)
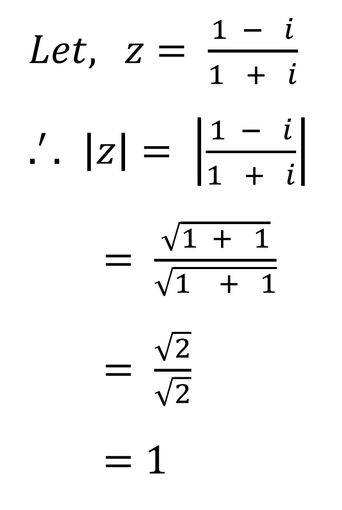
(g) (1 - i)/(1 + i)
Solution :.png)
(h)
.png)
(i).png)

3. আৰ্গাণ্ড চিত্ৰৰ সহায়ত দেখুওৱা যে 3 + 4i, - 3 + 4i, - 3 - 4i আৰু 3 – 4i সংখ্যাকেইটাক প্রতিনিধিত্ব কৰা বিন্দুকেইটা ঐককেন্দ্রিক। সেই বৃত্তটোৰ ব্যাসার্ধ উলিওৱা।
Solution :
বিন্দুকেইটা হৈছে -
3 + 4i = A(3, 4)
- 3 + 4i = B(- 3, 4)
- 3 - 4i = C(- 3, - 4)
3 – 4i = D(3, - 4)
A, B, C আৰু D বিন্দুকেইটা আৰ্গাণ্ড চিত্ৰত দেখুওৱা হ'ল
.'. 3 + 4i, - 3 + 4i, - 3 - 4i আৰু 3 – 4i বিন্দুকেইটা ঐককেন্দ্রিক।
.'. বৃত্তটোৰ ব্যাসার্ধ = √(32 + 42)
= √25
= 5 একক

4. (a) দেখুওৱা যে - 2 + 3i, - 6 + i আৰু - 10 - i জটিল সংখ্যাকেইটাই প্রতিনিধিত্ব কৰা বিন্দুকেইটা একৰেখীয়।
Solution :
বিন্দুকেইটা হৈছে -
- 2 + 3i = A(- 2, 3)
- 6 + i = B(- 6, 1)
- 10 - i = C(- 10, - 1)
.'. প্ৰদত্ত বিন্দুকেইটা একৰেখীয় ।
.png)
(b) দেখুওৱা যে 1 + 3i আৰু - 2 - 6i সংখ্যা দুটাই বুজোৱা বিন্দু দুটা সংযোগী ৰেখাডাল মূলবিন্দুৰে যায়।
Solution :
বিন্দুকেইটা হৈছে -
1 + 3i = A(1, 3)
- 2 - 6i = B(- 2, - 6)
.'. বিন্দু দুটা সংযোগী ৰেখাডাল মূলবিন্দুৰে যায়।
.png)
(c) আৰ্গাণ্ড চিত্ৰৰ সহায়ত দেখুওৱা - 2 + 3i, 5 + 8i আৰু - 9 - 2i সংখ্যাকেইটা বুজোৱা বিন্দুকেইটা একৰেখীয়।
Solution :
বিন্দুকেইটা হৈছে -
- 2 + 3i = A(- 2, 3)
5 + 8i = B(5, 8)
- 9 - 2i = C(- 9, - 2)
.'. বিন্দুকেইটা একৰেখীয় ।.png)
5. যদি z = x + iy আৰু |(z - 5i)/(z + 5i)| = 1 তেন্তে প্রমাণ কৰা যে y = 0
Solution :
z = x + iy
|(z - 5i)/(z + 5i)| = 1
⇒ |z - 5i| = |z + 5i|
⇒ |x + iy - 5i| = |x + iy + 5i|
⇒ |x + i(y - 5)| = |x + i(y + 5)|
⇒ √{x2 + (y - 5)2} = √{x2 + (y + 5)}
⇒ x2 + (y - 5)2 = x2 + (y + 5)
⇒ y2 - 10y + 25 = y2 + 10y + 25
⇒ - 20y = 0
⇒ y = 0
Proved,
6. (a) যদি z = x + iy আৰু |2z + 1| = |z + 2| তেন্তে দেখুওৱা যে x² + y² = 1.
Solution :
z = x + iy
|2z + 1| = |z + 2|
⇒ |2(x + iy) + 1| = |x + iy + 2|
⇒ |2x + 2yi + 1| = |x + iy + 2|
⇒ |(2x + 1) + 2yi| = |(x + 2) + iy|
⇒ √{(2x + 1)2 + (2y)2} = √{(x + 2)2 + y2}
⇒ 4x2 + 4x + 1 + 4y2 = x2 + 4x + 4 + y2
⇒ 3x2 + 3y2 = 3
⇒ x2 + y2 = 1
Proved,
(b) যদি w = a + ib আৰু |w + 6| = |2w + 3| তেন্তে দেখুওৱা যে a² + b² = 9
Solution :
w = a + ib
|w + 6| = |2w + 3|
⇒ |a + ib + 6| = |2(a + ib) + 3|
⇒ |a + ib + 6| = |2a + 2bi + 3|
⇒ |(a + 6) + ib| = |(2a + 3) + 2bi|
⇒ √{(a + 6)2 + b2} = √{(2a + 3)2 + (2b)2}
⇒ a2 + 12a + 36 + b2 = 4a2 + 12a + 9 + 4b2
⇒ - 3a2 - 3b2 = 9 - 36
⇒ - 3a2 - 3b2 = - 27
⇒ a2 + b2 = 9
Proved,
7. যদি z = - z আৰু z ≠ 0 তেন্তে দেখুওৱা যে z এটা বিশুদ্ধ কাল্পনিক সংখ্যা।
Solution :
Let, z = x + iy
z = x - iy
A/Q
z = - z
⇒ x - iy = - (x + iy)
⇒ x - iy = -x - iy
⇒ 2x = 0
⇒ x = 0
.'. z এটা বিশুদ্ধ কাল্পনিক সংখ্যা ।
8. (a) যদি |z1| = |z2| = 1 তেন্তে প্রমাণ কৰা যে |z1 + z2| = |1/z1 + 1/z2|
Solution :
We know that,
|z1|2 = 1
z1.z1 = 1
z1 = 1/z1 ------------ (1)
Similarly,
z2 = 1/z2 ------------ (2)
.'. RHS = |1/z1 + 1/z2|
= |z1 + z2|
= |z1 + z2|
= |z1 + z2|
= LHS
(b) যদি |z1| = |z2| = ... |zn| = 1, তেন্তে প্রমাণ কৰা যে |z1 + z2 + .... zn| = |1/z1 + 1/z2 + ........ 1/zn|
.png)
9. যিকোনো এটা জটিল সংখ্যা z ৰ বাবে দেখুওৱা যে |z| + |z - 1| ৰ নিম্নতম মান 1 ।
Solution :
|z| + |z - 1| ≥ 1
.'. |z| + |1 - z| ≥ 1
⇒ |z + 1 - z| ≥ 1
.'. |z| + |z - 1| ৰ নিম্নতম মান 1
10. যদি z(≠1) এটা এনে জটিল সংখ্যা যে (z - 1)/(z + 1) এটা বিশুদ্ধ কাল্পনিক সংখ্যা তেন্তে দেখুওৱা যে |z| = 1 (বা দেখুওৱা যে x² + y² = 1, য'ত z = x + iy)

11. যদি z₁ = 4 - 3i আৰু z2 = 2 + i তেন্তে তলত দিয়াবিলাক সত্য নে অসত্য চোৱা -
(i) |z1z2| = |z1||z2|
Solution :
z₁ = 4 - 3i
z2 = 2 + i
LHS = |z1z2|
= |(4 - 3i)(2 + i)|
= |8 + 4i - 6i + 3|
= |11 - 2i|
= √125
= 5√5
RHS = |z1||z2|
= |4 - 3i| |2 + i|
= √25 . √5
= 5√5
.'. LHS = RHS
(ii) |z1/z2|= |z1/z2| = |z1|/|z2|
.png)
.'. LHS = RHS
(iii) z1z1 = |z1|2
Solution :
z₁ = 4 - 3i
z1 = 4 + 3i
LHS = z1z1
= (4 - 3i)(4 + 3i)
= 16 + 9
= 25
RHS = |z1|2
= {√(16 + 9)}2
= {√25}2
= 25
.'. LHS = RHS
(iv) |z1 + z2|2 + |z1 - z2|2 = 2(|z1|2 + |2|2)
Solution :
z₁ = 4 - 3i
z2 = 2 + i
LHS = |z1 + z2|2 + |z1 - z2|2
= |(4 - 3i) + (2 + i)|2 + |(4 - 3i) - (2 + i)|2
= |6 - 2i|2 + |2 - 4i|2
= {√40}2 + {√20}2
= 40 + 20
= 60
RHS = 2(|z1|2 + |2|2)
= 2.[(√25)2 + (√5)2]
= 2.[25 + 5]
= 60
.'. LHS = RHS
12. (a) প্রমাণ কৰা যে |z2| = |z|2
Solution :
Let, z = x + iy
LHS = |z2|
= |(x + iy)2|
= |x2 + 2xyi - y2|
= |(x2 - y2) + 2xyi|
= √{(x2 - y2)2 + (2xy)2}
= √{(x2 - y2)2 + 4x2y2}
= √(x2 + y2)2
= x2 + y2
RHS = |z|2
= {√(x2 + y2}2
= x2 + y2
.'. LHS = RHS
(b) যিকোনো এটা জটিল সংখ্যা z ৰ বাবে যদি |z + 1| = |z - 1| তেন্তে দেখুওৱা যে Re(z) = 0.
Solution :
Let, z = x + iy
.'. |z + 1| = |z - 1|
⇒ |x + iy + 1| = |x + iy - 1|
⇒ |(x + 1) + iy| = |(x - 1) + iy|
⇒ √{(x + 1)2 + y2} = √{(x - 1)2 + y2}
⇒ (x + 1)2 + y2 = (x - 1)2 + y2
⇒ x2 + 2x + 1 = x2 - 2x + 1
⇒ 4x = 0
⇒ x = 0 ----------- (1)
Now
Re(z) = x
= 0
Study Materials (AssamTET.com)
| Assam TET-LP | Assam TET-UP | CTET - Paper 1 |
| CTET - Paper 2 | ADRE Grade 3 | ADRE Grade 4 |
| Assam Police | D.El.Ed | Class 10 |
| Asaam TET-GT | Assam TET-PGT | Class 12 |
Design & Developed by Assam TET Academy
Copyright © 2026 Assam TET | All rights reserved