Access SEBA Solutions for Class 10 Maths Chapter 4 Exercise 4.4 (Quadratic Equations) with step-by-step explanations. Enhance your learning and ace your exams with these accurate, CBSE-approved solutions.
Follow Us
| Join Now | |
| Join Now | |
| Telegram | Join Now |
দশম শ্ৰেণী : গণিত
দশম শ্ৰেণীৰ বাবে SCERT সমাধানসমূহ সকলো বিষয়তে অন্বেষণ কৰক, য'ত.
PDF ফৰ্মেটত SCERT পাঠ্যপুথিসমূহ প্ৰৱেশ কৰক আৰু আপোনাৰ শিক্ষণ প্ৰক্ৰিয়া সৰল কৰক। এই বিশেষজ্ঞতাৰে নিৰ্মিত সমাধানসমূহে ঘৰুৱা কাম সম্পূৰ্ণ কৰা, পৰীক্ষাৰ বাবে প্ৰস্তুতি চলোৱা বা দ্ৰুত পুনৰীক্ষণ চলোৱাৰ বাবে এক পোনপটীয়া পদ্ধতি প্ৰদান কৰে। আপুনি প্ৰত্যাহ্বানমূলক বিষয়সমূহৰ সৈতে মোকাবিলা কৰক বা শৈক্ষিক উৎকৃষ্টতাৰ লক্ষ্য ৰাখক, দশম শ্ৰেণীৰ বাবে SCERT সমাধানসমূহ সফলতাৰ বাবে আপোনাৰ যাবলগীয়া সম্পদ।

দ্বিঘাত সমীকৰণ : অনুশীলনী 4.4
দ্বিঘাত সমীকৰণৰ ওপৰত SEBA দশম শ্ৰেণীৰ গণিত অধ্যায় 4 ৰ বাবে অনুশীলনী 4.4 ত গুণককৰণ, বৰ্গ সম্পূৰ্ণ কৰা, আৰু দ্বিঘাত সূত্ৰৰ দৰে পদ্ধতি ব্যৱহাৰ কৰি দ্বিঘাত সমীকৰণৰ সৈতে জড়িত সমস্যা সমাধান কৰাত গুৰুত্ব দিয়া হৈছে। এই অনুশীলনটো ছেবাৰ পাঠ্যক্ৰমৰ অংশ আৰু ই উন্নত গাণিতিক অধ্যয়নৰ বাবে মূল ধাৰণা গঢ়ি তোলাত সহায় কৰে।
1. তলৰ দ্বিঘাত সমীকৰণবোৰৰ মূলবোৰৰ প্ৰকৃতি নিৰ্ণয় কৰা। যদি বাস্তৱ মূল থাকে, তেন্তে সেইবোৰ উলিওৱা।
(i) 2x2 - 3x + 5 = 0
Solution
2x2 - 3x + 5 = 0
a = 2
b = - 3
c = 5
.'. b2 - 4ac
= (- 3)2 - 4.2.5
= 9 - 40
= - 31 < 0
.'. ইয়াৰ বাস্তৱ মূল নাই
(ii) 3x2 - 4√3x + 4 = 0
Solution
3x2 - 4√3x + 4 = 0
a = 3
b = - 4√3
c = 4
.'. b2 - 4ac
= (- 4√3)2 - 4.3.4
= 16.3 - 48
= 48 - 48
= 0
.'. ইয়াৰ সমান বাস্তৱ মূল আছে
x = - b/2a or x = - b/2a
⇒ x = - (- 4√3)/2.3 or ⇒ x = - (- 4√3)/2.3
⇒ x = 4√3/6 or ⇒ x = 4√3/6
⇒ x = 2√3/3 or ⇒ x = 2√3/3
⇒ x = 2/√3 or ⇒ x = 2/√3
.'. মূল দুটা হল 2/√3 আৰু 2/√3
YouTube Channel
| Assam TET Academy | Subscribe Now |
| Assam Job Portal | Subscribe Now |
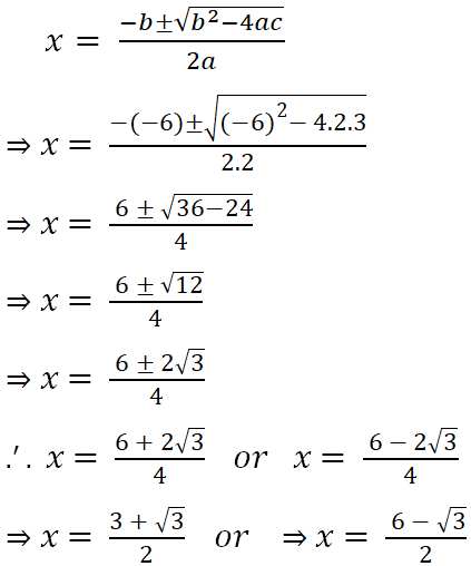
(iii) 2x2 - 6x + 3 = 0
Solution
2x2 - 6x + 3 = 0
a = 2
b = - 6
c = 3
.'. b2 - 4ac
= (- 6)2 - 4.2.3
= 36 - 24
= 12 > 0
.'. ইয়াৰ বাস্তৱ মূল আছে
 solution.png)
(iv) 9x2 - 6x + 1 = 0
Solution
9x2 - 6x + 1 = 0
a = 9
b = - 6
c = 1
.'. b2 - 4ac
= (- 6)2 - 4.9.1
= 36 - 36
= 0
.'. ইয়াৰ সমান বাস্তৱ মূল আছে
x = - b/2a or x = - b/2a
⇒ x = - (- 6)/2.9 or ⇒ x = - (- 6)/2.9
⇒ x = 6/18 or ⇒ x = 6/18
⇒ x = 1/3 or ⇒ x = 1/3
.'. মূল দুটা হল 1/3 আৰু 1/3
(v) 3x2 - 5x + 12 = 0
Solution
3x2 - 5x + 12 = 0
a = 3
b = - 5
c = 12
.'. b2 - 4ac
= (- 5)2 - 4.3.12
= 25 - 144
= - 119 < 0
.'. ইয়াৰ বাস্তৱ মূল নাই
(vi) x2 + x + 1 = 0
Solution
x2 + x + 1 = 0
a = 1
b = 1
c = 1
.'. b2 - 4ac
= 12 - 4.1.1
= 1 - 4
= - 3 < 0
.'. ইয়াৰ বাস্তৱ মূল নাই
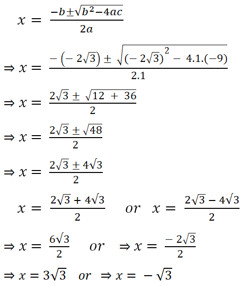
(vii) x2 - 2√3x - 9 = 0
Solution
x2 - 2√3x - 9 = 0
a = 1
b = - 2√3
c = - 9
.'. b2 - 4ac
= (- 2√3)2 - 4.1.(- 9)
= 4.3 + 4.1.9
= 12 + 36
= 48 > 0
.'. ইয়াৰ বাস্তৱ মূল আছে
 solution.png)
SEBA Class 10 in Assamese Medium
| English | অসমীয়া | গণিত |
| বিজ্ঞান | সমাজ | উচ্চ গণিত |
| E.Grammar | অ. ব্যাকৰণ |
2. তলৰ দ্বিঘাত সমীকৰণবোৰৰ প্ৰতিটোৰে ক্ষেত্ৰত k ৰে মান উলিওৱা, যাতে সিহঁতৰ দুটাকৈ (সমান) বাস্তৱ মূল থাকে।
(i) 2x2 + kx + 3 = 0
Solution
2x2 + kx + 3 = 0
.'. দ্বিঘাত সমীকৰণটোত দুটা সমান বাস্তৱ মূল থাকে
b2 - 4ac = 0
⇒ k2 - 4.2.3 = 0
⇒ k2 = 24
⇒ k = ± √24
⇒ k = ± 2√6
(ii) kx(x - 2) + 6 = 0
Solution
kx2 - 2kx + 6 = 0
.'. দ্বিঘাত সমীকৰণটোত দুটা সমান বাস্তৱ মূল থাকে।
b2 - 4ac = 0
⇒ (- 2k)2 - 4.k.6 = 0
⇒ 4k2 - 24k = 0 (4k Divided)
⇒ k - 6 = 0
⇒ k = 6
(iii) x2 - (k + 4)x + 2k + 5 = 0
Solution
x2 - (k + 4)x + 2k + 5 = 0
.'. দ্বিঘাত সমীকৰণটোত দুটা সমান বাস্তৱ মূল থাকে।
b2 - 4ac = 0
⇒ {- (k + 4)}2 - 4.1.(2k + 5) = 0
⇒ {k + 4}2 - 4.(2k + 5) = 0
⇒ k2 + 2.k.4 + 42 - 8k - 20 = 0
⇒ k2 + 8k + 16 - 8k - 20 = 0
⇒ k2 - 4 = 0
⇒ k2 = 4
⇒ k2 = 22
⇒ k = ± 2
(iv) 2x2 + 8x - k3 = 0
Solution
2x2 + 8x - k3 = 0
.'. দ্বিঘাত সমীকৰণটোত দুটা সমান বাস্তৱ মূল থাকে।
b2 - 4ac = 0
⇒ 82 - 4.2.(- k3) = 0
⇒ 64 + 8k3 = 0 (Divided 8)
⇒ 8 + k3 = 0
⇒ k3 = - 8
⇒ k3 = (- 2)3
⇒ k = - 2
(v) (k - 3)x2 + 6x + 9 = 0
Solution
(k - 3)x2 + 6x + 9 = 0
.'. দ্বিঘাত সমীকৰণটোত দুটা সমান বাস্তৱ মূল থাকে।
b2 - 4ac = 0
⇒ 62 - 4.(k - 3).9 = 0
⇒ 36 - 36.(k - 3) = 0 (Divided 36)
⇒ 1 - (k - 3) = 0
⇒ 1 - k + 3 = 0
⇒ - k + 4 = 0
⇒ - k = - 4
⇒ k = 4
(vi) (k - 12)x2 + 2(k - 12)x + 2 = 0
Solution
(k - 12)x2 + 2(k - 12)x + 2 = 0
.'. দ্বিঘাত সমীকৰণটোত দুটা সমান বাস্তৱ মূল থাকে
b2 - 4ac = 0
⇒ {2(k - 12)}2 - 4.(k - 12).2 = 0
⇒ 4(k - 12)2 - 8.(k - 12) = 0
⇒ (k - 12)2 - 2.(k - 12) = 0
⇒ k2 - 2.k.12 + 122 - 2k + 24 = 0
⇒ k2 - 24k + 144 - 2k + 24 = 0
⇒ k2 - 26k + 168 = 0
⇒ k2 - 12k - 14k + 168 = 0
⇒ k(k - 12) - 14(k - 12) = 0
⇒ (k - 12)(k - 14) = 0
.'. k - 12 = 0 or k - 14 = 0
⇒ k = 12 or ⇒ k = 14
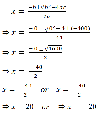
3. প্রস্থতকৈ দীঘ দুগুণ হোৱাকৈ এখন আয়তাকাৰ আমৰ বাগিছাৰ চানেকি প্ৰস্তুত কৰাটো সম্ভৱ হ'বনে যাতে ইয়াৰ কালি 800 বর্গমিটাৰ হয়? যদি সম্ভৱ, ইয়াৰ দীঘ আৰু প্রস্থ উলিওৱা।
Solution
কালি = 800 m2
Let,
প্রস্থ = x m
দীঘ = 2x
A/Q,
কালি = 800
⇒ প্রস্থ × দীঘ = 800
⇒ x.2x = 800
⇒ 2x2 - 800 = 0
⇒ x2 - 400 = 0
.'. b2 - 4ac
= 02 - 4.1.(- 400)
= + 1600 > 0
ইয়াৰ চানেকি প্ৰস্তুত কৰাটো সম্ভৱ হ'ব
x2 - 400 = 0

.'. প্রস্থ = 20 m
দীঘ = 2.20 = 40 m
NCERT Class 10 in English Medium
| English | Assamese | Mathematics |
| G.Science | S.Science | Adv. Maths |
| Geography | E.Grammar | অ. ব্যাকৰণ |
| IT(Computer) |
||
4. তলৰ পৰিস্থিতিটো সম্ভর হয়নে ? যদি হয়, তেওঁলোকৰ বৰ্তমান বয়স নির্ণয় কৰা। দুজন বন্ধুৰ বয়সৰ সমষ্টি 20 বছৰ। চাৰি বছৰ আগতে তেওঁলোকৰ বয়সৰ পূৰণফল (বছৰত) আছিল 48।
Solution
এজন বন্ধুৰ বয়স = x
আনজন বন্ধুৰ বয়স = 20 - x
A/Q,
(x - 4)(20 - x - 4) = 48
⇒ (x - 4)(16 - x) = 48
⇒ 16x - x2 - 64 + 4x = 48
⇒ - x2 + 20x - 64 - 48 = 0
⇒ x2 - 20x + 112 = 0
.'. b2 - 4ac
= (- 20)2 - 4.1.112
= 400 - 448
= - 48 < 0
.'. সম্ভৱ নহয়
5. পৰিসীমা 80 মিটাৰ আৰু কালি 400 বর্গ মিটাৰ হোৱাকৈ এখন আয়তাকাৰ উদ্যানৰ চানেকি কৰাটো সম্ভৱনে? যদি হয়, ইয়াৰ দীঘ আৰু প্ৰস্থ উলিওৱা।
Solution
পৰিসীমা = 2(দীঘ + প্ৰস্থ)
40 = দীঘ + প্ৰস্থ
Let,
প্ৰস্থ = x
দীঘ = 40 - x
A/Q,
কালি = 400
⇒ প্রস্থ × দীঘ = 400
⇒ x.(40 - x) = 400
⇒ 40x - x2 - 400 = 0
⇒ - x2 + 40x - 400 = 0
⇒ x2 - 40x + 400 = 0
.'. b2 - 4ac
= (- 40)2 - 4.1.400
= 1600 - 1600
= 0
.'. উদ্যানৰ চানেকি সম্ভৱ কৰাটো সম্ভৱ হ'ব
x2 - 40x + 400 = 0

.'. প্ৰস্থ = 20 m
দীঘ = 40 - 20 = 20 m
| দ্বিঘাত সমীকৰণ : অনুশীলনী | ||||||
| নিয়ম | MCQ | PYR | 4.1 | 4.2 | 4.3 | 4.4 |
MCQ = Multiple Choice Question
PYR = Previous Year Question
Study Materials
| Assam TET-LP | Assam TET-UP | CTET - Paper 1 |
| CTET - Paper 2 | ADRE Grade 3 | ADRE Grade 4 |
| Assam Police | D.El.Ed | Class 10 |
| Asaam TET-GT | Assam TET-PGT | Class 12 |
Design & Developed by Assam TET Academy
Copyright © 2026 Assam TET | All rights reserved