Follow Us
| Join Now | |
| Join Now | |
| Telegram | Join Now |

দশম শ্ৰেণী : গণিত
দশম শ্ৰেণীৰ বাবে SCERT সমাধানসমূহ সকলো বিষয়তে অন্বেষণ কৰক, য'ত.
PDF ফৰ্মেটত SCERT পাঠ্যপুথিসমূহ প্ৰৱেশ কৰক আৰু আপোনাৰ শিক্ষণ প্ৰক্ৰিয়া সৰল কৰক। এই বিশেষজ্ঞতাৰে নিৰ্মিত সমাধানসমূহে ঘৰুৱা কাম সম্পূৰ্ণ কৰা, পৰীক্ষাৰ বাবে প্ৰস্তুতি চলোৱা বা দ্ৰুত পুনৰীক্ষণ চলোৱাৰ বাবে এক পোনপটীয়া পদ্ধতি প্ৰদান কৰে। আপুনি প্ৰত্যাহ্বানমূলক বিষয়সমূহৰ সৈতে মোকাবিলা কৰক বা শৈক্ষিক উৎকৃষ্টতাৰ লক্ষ্য ৰাখক, দশম শ্ৰেণীৰ বাবে SCERT সমাধানসমূহ সফলতাৰ বাবে আপোনাৰ যাবলগীয়া সম্পদ।

দ্বিঘাত সমীকৰণ : অনুশীলনী 4.3
দ্বিঘাত সমীকৰণৰ ওপৰত SEBA দশম শ্ৰেণীৰ গণিত অধ্যায় 4 ৰ বাবে অনুশীলনী 4.3 ত গুণককৰণ, বৰ্গ সম্পূৰ্ণ কৰা, আৰু দ্বিঘাত সূত্ৰৰ দৰে পদ্ধতি ব্যৱহাৰ কৰি দ্বিঘাত সমীকৰণৰ সৈতে জড়িত সমস্যা সমাধান কৰাত গুৰুত্ব দিয়া হৈছে। এই অনুশীলনটো ছেবাৰ পাঠ্যক্ৰমৰ অংশ আৰু ই উন্নত গাণিতিক অধ্যয়নৰ বাবে মূল ধাৰণা গঢ়ি তোলাত সহায় কৰে।
1. বৰ্গ সম্পূৰণ পদ্ধতিৰে তলৰ দ্বিঘাত সমীকৰণবোৰৰ মূল (যদি বর্তে) উলিওৱা।
(i) 2x2 - 7x + 3 = 0
Solution

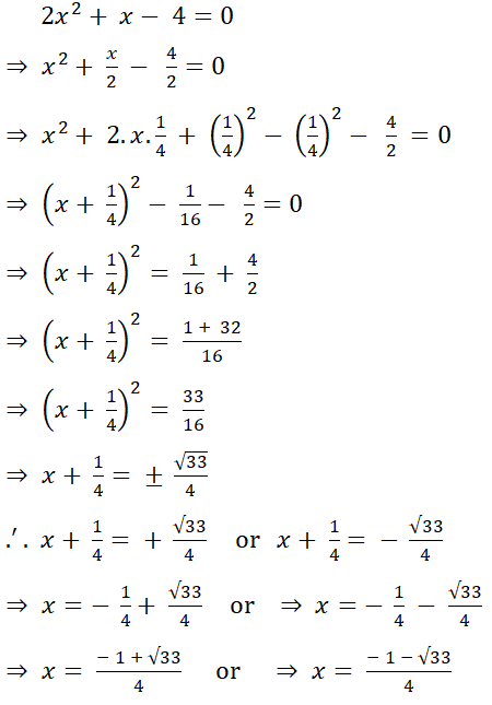
(ii) 2x2 + x - 4 = 0
Solution

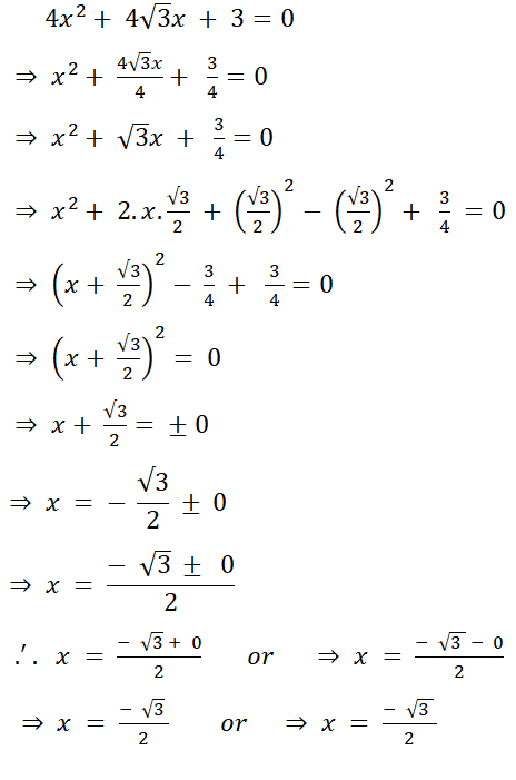
(iii) 4x2 + 4√3x + 3 = 0
Solution

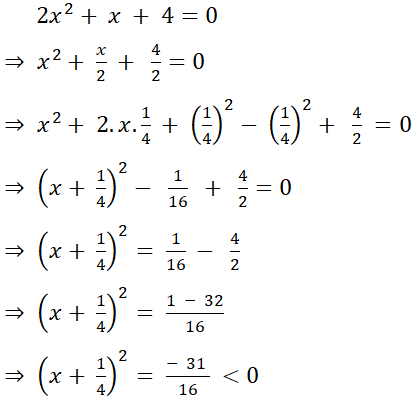
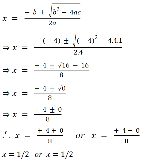
(iv) 2x2 + x + 4 = 0
Solution

.'. কোনো বাস্তৱ মূল নাই
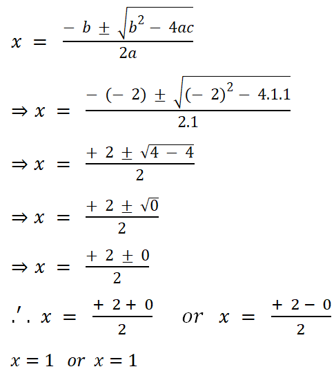
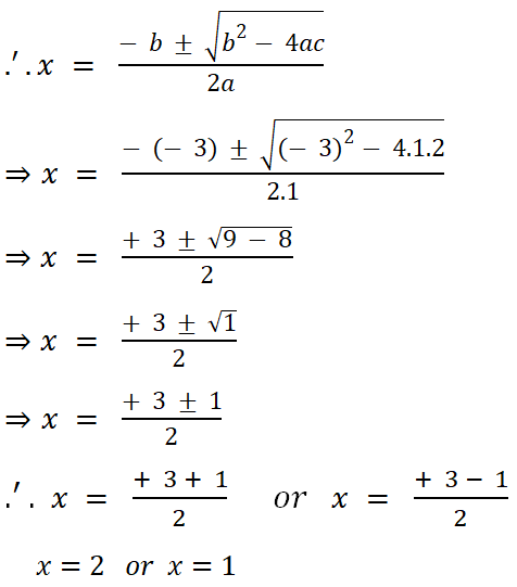
(v) x2 + 4x + 1 = 0
Solution

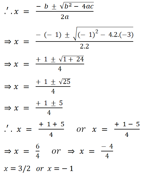
(vi) 4x2 + x - 3 = 0
Solution

YouTube Channel
| Assam TET Academy | Subscribe Now |
| Assam Job Portal | Subscribe Now |
2. দ্বিঘাত সূত্র প্রয়োগ কৰি ওপৰৰ প্ৰশ্ন-1ত দিয়া দ্বিঘাত সমীকৰণবোৰৰ মূল নিৰ্ণয় কৰা।
(i) 2x2 - 7x + 3 = 0
Solution
| x | = |
- b ± √b2 - 4ac 2a
|
| x | = |
- (- 7) ± √(- 7)2 - 4.2.3 2.2
|
| x | = |
7 ± √49 - 24 4
|
| x | = |
7 ± √25 4
|
| x | = |
7 ± 5 4
|
| x | = |
7 + 5 4
|
x | = |
7 - 5 4
|
||
| = |
12 4
|
= |
24
|
||||
| = | 3 | = |
12
|
||||
(ii) 2x2 + x - 4 = 0
Solution
| x | = |
- b ± √b2 - 4ac 2a
|
| x | = |
- 1 ± √12 - 4.2.(- 4) 2.2
|
| x | = |
- 1 ± √1 + 32 4
|
| x | = |
- 1 ± √33 4
|
| x | = |
- 1 + √33 4
|
x | = |
- 1 + √33 4
|
||
.'. কোনো বাস্তৱ মূল নাই
(iii) 4x2 + 4√3x + 3 = 0
Solution
| x | = |
- b ± √b2 - 4ac 2a
|
| x | = |
- 4√3 ± √(4√3)2 - 4.4.3 2.4
|
| x | = |
- 4√3 ± √48 - 48 8
|
| x | = |
- 4√3 ± √0 8
|
| x | = |
- 4√3 ± 0 8
|
| x | = |
- 4√3 + 0 0
|
x | = |
- 4√3 - 0 8
|
||
| = |
- 4√3 8
|
= |
- 4√38
|
||||
| = |
- √3 2
|
= |
- √32
|
||||
(iv) 2x2 + x + 4 = 0
Solution
| x | = |
- b ± √b2 - 4ac 2a
|
| x | = |
- 1 ± √12 - 4.2.4 2.2
|
| x | = |
- 1 ± √1 - 24 4
|
| x | = |
- 1 ± √- 23 4
|
.'. কোনো বাস্তৱ মূল নাই
(v) x2 + 4x + 1 = 0
Solution
| x | = |
- b ± √b2 - 4ac 2a
|
| x | = |
- 4 ± √42 - 4.1.1 2.1
|
| x | = |
- 4 ± √16 - 4 2
|
| x | = |
- 4 ± √12 2
|
| x | = |
- 4 ± 2√3 2
|
| x | = |
- 4 + 2√3 2
|
x | = |
- 4 - 2√3 2
|
||
| = |
12 4
|
= |
24
|
||||
| = | 3 | = |
12
|
||||
(vi) 4x2 + x - 3 = 0
Solution
| x | = |
- b ± √b2 - 4ac 2a
|
| x | = |
- 1 ± √12 - 4.4.(- 3) 2.4
|
| x | = |
- 1 ± √1 + 48 8
|
| x | = |
- 1 ± √49 8
|
| x | = |
- 1 ± 7 8
|
| x | = |
- 1 + 7 8
|
x | = |
- 1 - 7 8
|
||
| = |
6 8
|
= |
- 88
|
||||
| = | 3/4 | = |
11
|
||||
SEBA Class 10 in Assamese Medium
| English | অসমীয়া | গণিত |
| বিজ্ঞান | সমাজ | উচ্চ গণিত |
| E.Grammar | অ. ব্যাকৰণ |
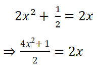
3. তলৰ সমীকৰণবোৰৰ মূল উলিওৱা
(i)
.png)
 part.png)
(ii)
.png)
⇒ 11x2 - 33x - 308 = - 330
⇒ 11x2 - 33x - 308 + 330 = 0
⇒ 11x2 - 33x + 22 = 0
⇒ x2 - 3x + 2 = 0 part.png)
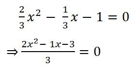
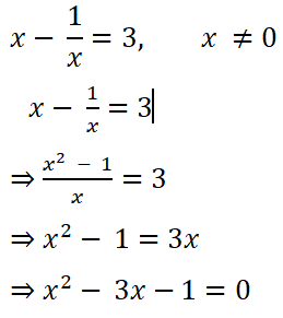
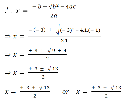
(iii)
.png)
⇒ 2x2 - 1x - 3 = 0 part.png)
(iv)
.png)
⇒ 4x2 + 1 = 4x
⇒ 4x2 - 4x + 1 = 0 part.png)
(v)
.png)
⇒ x2 + 1 = 2x
⇒ x2 - 2x + 1 = 0 part.png)
(vi)
.png)
⇒ (5x - 6)(3x + 2) = (2x + 3)(4x - 1)
⇒ 15x2 + 10x - 18x - 12 = 8x2 - 2x + 12x - 3
⇒ 15x2 - 8x - 12 = 8x2 + 10x - 3
⇒ 15x2 - 8x2 - 8x - 10x - 12 + 3 = 0
⇒ 7x2 - 18x - 9 = 0 part.png)
4. আজিৰপৰা 3 বছৰ আগৰ আৰু 5 বছৰ পিছৰ ৰহমানৰ বয়সৰ প্ৰতিক্ৰমবোৰৰ যোগফল 1/3 । তেওঁৰ বৰ্তমান বয়স উলিওৱা।
Solution
Let,
ৰহমানৰ বৰ্তমান বয়স = x বছৰ

(x - 3)(x + 5) = 3(2x + 2)
⇒ x2 + 5x - 3x - 15 = 6x + 6
⇒ x2 + 2x - 15 = 6x + 6
⇒ x2 + 2x - 6x - 15 - 6 = 0
⇒ x2 - 4x - 21 = 0
⇒ x2 - 7x + 3x - 21 = 0
⇒ x(x - 7) + 3(x - 7) = 0
⇒ (x - 7)(x + 3) = 0
.'. x - 7 = 0 or x + 3 = 0
⇒ x = 7 or ⇒ x = -3
ৰহমানৰ বৰ্তমান বয়স = 7 বছৰ
5. এটা শ্রেণী-পৰীক্ষাত শেৱালিৰ গণিতৰ নম্বৰ আৰু ইংৰাজীৰ নম্বৰ দুটাৰ যোগফল 30 । তাই যদি গণিতত আৰু 2 নম্বৰ বেছি আৰু ইংৰাজীত 3 নম্বৰ কম পালেহেঁতেন, এই নম্বৰ দুটাৰ পূৰণফল 210 হ'লহেঁতেন। তাইৰ বিষয় দুটাত পোৱা নম্বৰবোৰ উলিওৱা।
Solution
Let,
শেৱালিয়ে গণিতত পোৱা নম্বৰ = x
শেৱালিয়ে ইংৰাজীত পোৱা নম্বৰ = 30 - x
A/Q
(x + 2)(30 - x - 3) = 210
⇒ (x + 2)(27 - x) = 210
⇒ 27x - x2 + 54 - 2x - 210 = 0
⇒ - x2 + 25x - 156 = 0
⇒ x2 - 25x + 156 = 0
⇒ x2 - 13x - 12x + 156 = 0
⇒ x(x - 13) - 12(x - 13) = 0
⇒ (x - 13)(x - 12) = 0
.'. x - 13 = 0 or x - 12 = 0
⇒ x = 13 or ⇒ x = 12
x = 13
শেৱালিয়ে গণিতত পোৱা নম্বৰ = 13
শেৱালিয়ে ইংৰাজীত পোৱা নম্বৰ = 30 - 13 = 17
x = 12
শেৱালিয়ে গণিতত পোৱা নম্বৰ = 12
শেৱালিয়ে ইংৰাজীত পোৱা নম্বৰ = 30 - 12 = 18
6. এখন আয়তাকাৰ পথাৰৰ কৰ্ণৰ দীঘ ইয়াৰ চুটি বাহুটোতকৈ 60 মিটাৰ বেছি। যদি দীঘল বাহুটো চুটি বাহুটোতকৈ 30 মিটাৰ বেছি, পথাৰখনৰ বাহু দুটাৰ দীঘ উলিওৱা।
Solution
Let,
আয়তাকাৰ পথাৰৰ চুটি বাহু = x m
আয়তাকাৰ পথাৰৰ কৰ্ণ = x + 60
আয়তাকাৰ পথাৰৰ দীঘ = x + 30
A/Q
পাইথাগোছৰ সূত্ৰ মত
দীঘ2 + (চুটি বাহু)2 = কৰ্ণ2
⇒ (x + 30)2 + x2 = (x + 60)2
⇒ x2 + 2.x.30 + 302 + x2 = x2 + 2.x.60 + 602
⇒ x2 + 60x + 900 + x2 = x2 + 120x + 3600
⇒ 2x2 - x2 + 60x - 120x + 900 - 3600 = 0
⇒ x2 - 60x - 2700 = 0
⇒ x2 - 90x + 30x - 2700 = 0
⇒ x(x - 90) + 30(x - 90) = 0
⇒ (x - 90)(x + 30) = 0
.'. x - 90 = 0 or x + 30 = 0
⇒ x = 90 or ⇒ x = - 30
.'. আয়তাকাৰ পথাৰৰ চুটি বাহু = 90 m
আয়তাকাৰ পথাৰৰ দীঘ = 90 + 30 = 120 m
7. দুটা সংখ্যাৰ বৰ্গৰ পাৰ্থক্য 180। সৰু সংখ্যাটোৰ বৰ্গ ডাঙৰ সংখ্যাটোৰ ৪ গুণ। সংখ্যা দুটা উলিওৱা।
Solution
Let,
সৰু সংখ্যাটো = x
ডাঙৰ সংখ্যাটো = y
A/Q
y2 - x2 = 180 ------ (i)
x2 = 8y ---------- (ii)
x2 ৰ মান (i) ত বহুৱাই পাও
y2 - 8y = 180
⇒ y2 - 8y - 180 = 0
⇒ y2 - 18y + 10y - 180 = 0
⇒ y(y - 18) + 10(y - 18) = 0
⇒ (y - 18)(y + 10) = 0
.'. y - 18 = 0 or y + 10 = 0
⇒ y = 18 or ⇒ y = - 10
y ৰ মান (ii) ত বহুৱাই পাও
x2 = 8.18
⇒ x2 = 144
⇒ x2 = 122
⇒ x = 12
.'. সৰু সংখ্যাটো = 12
ডাঙৰ সংখ্যাটো = 18
NCERT Class 10 in English Medium
| English | Assamese | Mathematics |
| G.Science | S.Science | Adv. Maths |
| Geography | E.Grammar | অ. ব্যাকৰণ |
| IT(Computer) |
||
৪. এখন ৰে'লগাড়ীয়ে সমান দ্রুতিত 360 কি.মি. ভ্রমণ কৰে। যদি ইয়াৰ দ্রুতি ঘণ্টাত 5 কি.মি. বেছি হ'লহেঁতেন, ই একেটা ভ্ৰমণৰ সময় 1 ঘণ্টা কম ল'লেহেঁতেন। ৰে'লগাড়ীখনৰ দ্রুতি উলিওৱা।
Solution
Let,
ৰে'লগাড়ীখনৰ দ্রুতি = u km/h
মুঠ দূৰত্ব = 360 km
.'. 360 km অতিক্ৰম কৰিলে প্ৰয়োজনীয় সময় = 360/x
A/Q

⇒ (u2 + 5u).(- 1) = - 1800
⇒ u2 + 5u = 1800
⇒ u2 + 5u - 1800 = 0
⇒ u2 + 45u - 40u + 1800 = 0
⇒ u(u + 45) - 40(u + 45) = 0
⇒ (u - 40)(u + 45) = 0
.'. u - 40 = 0 or u + 45 = 0
⇒ u = 40 or ⇒ u = - 45
.'. ৰে'লগাড়ীখনৰ দ্রুতি = 40 km/h
Note : সময় = দূৰত্ব/দ্রুতি
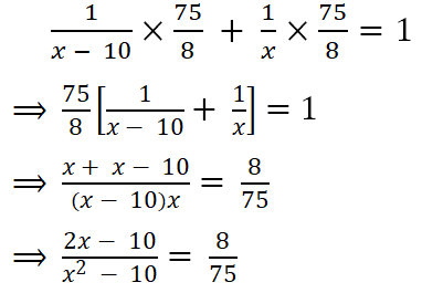
9. দুটা পানীৰ নলীয়ে এটা চৌবাচ্চা 9^3/8(75/8) ঘণ্টাত পূৰ কৰে। চৌবাচ্চাটো বেলেগে বেলেগে পূৰ কৰিবলৈ হ'লে ডাঙৰ ব্যাসৰ নলীটোৱে সৰু ব্যাসৰ নলীটোতকৈ 10 ঘণ্টা সময় কম লয়। প্রত্যেকটো নলীয়ে বেলেগে বেলেগে কিমান সময়ত চৌবাচ্চাটো পূৰ কৰিব পাৰিব উলিওৱা।
Solution
Let,
সৰু ব্যাসৰ নলীটোৰ চৌবাচ্চাটো পূৰ কৰোতে সময় লাগে = x ঘণ্টা
ডাঙৰ ব্যাসৰ নলীটোৰ চৌবাচ্চাটো পূৰ কৰোতে সময় লাগে = x - 10 ঘণ্টা
A/Q

⇒ 8(x2 - 10x) = 75(2x - 10)
⇒ 8x2 - 80x = 150x - 750
⇒ 8x2 - 80x - 150x + 750 = 0
⇒ 8x2 - 230x + 750 = 0 (Divided 2)
⇒ 4x2 - 115x + 375 = 0
⇒ 4x2 - 100x - 15x + 375 = 0
⇒ 4x(x - 25) - 15(x - 25) = 0
⇒ (x - 25)(4x - 15) = 0
.'. x - 25 = 0 or 4x - 15 = 0
⇒ x = 25 or ⇒ 4x = 15
⇒ x = 25 or ⇒ x = 15/4
.'. সৰু ব্যাসৰ নলীটোৰ চৌবাচ্চাটো পূৰ কৰোতে সময় লাগে = 25 ঘণ্টা
ডাঙৰ ব্যাসৰ নলীটোৰ চৌবাচ্চাটো পূৰ কৰোতে সময় লাগে = 25 - 10 = 15 ঘণ্টা
10. মহীশূৰ আৰু বাংগালোৰৰ মাজত 132 কি.মি. পথ ভ্রমণ কৰিবলৈ এখন দ্রুতবেগী ৰে'লগাড়ী এখন যাত্রীবাহী ৰে'লগাড়ীতকৈ 1 ঘণ্টা সময় কম লয় (মাজৰ ষ্টেছনবোৰত সিহঁতে ৰোৱা সময়খিনি নধৰাকৈ)। যদি দ্রুতবেগী ৰে'লগাড়ীখনৰ গড় দ্রুতি যাত্রীবাহী ৰে'লগাড়ীখনতকৈ ঘণ্টাত 11 কি.মি. বেছি, ৰে'লগাড়ী দুখনৰ গড় দ্রুতি উলিওৱা।
Solution
Let,
যাত্রীবাহী ৰে'লগাড়ীৰ গড় দ্রুতি = u km/h
দ্রুতবেগী ৰে'লগাড়ীখনৰ গড় দ্রুতি = (u + 11) km/h
মুঠ দূৰত্ব = 132 km
A/Q

⇒ (x2 + 11x)(- 1) = - 1452
⇒ - 1x2 - 11x + 1452 = 0
⇒ x2 + 11x - 1452 = 0
⇒ x2 + 44x - 33x - 1452 = 0
⇒ x(x + 44) - 33(x + 44) = 0
⇒ (x - 33)(x + 44) = 0
.'. x - 33 = 0 or x + 44 = 0
⇒ x = 33 or ⇒ x = - 44
.'. যাত্রীবাহী ৰে'লগাড়ীৰ গড় দ্রুতি = 33 km/h
দ্রুতবেগী ৰে'লগাড়ীখনৰ গড় দ্রুতি = 33 + 11 = 44 km/h
Note : সময় = দূৰত্ব/দ্রুতি
1452 = 2 x 2 x 3 x 11 x 11
44 = 2 x 2 x 11
33 = 3 x 11
11. দুটা বৰ্গৰ কালিৰ যোগফল 468 বর্গমিটাৰ। যদি সিহঁতৰ পৰিসীমাৰ পাৰ্থক্য 24 মিটাৰ, বৰ্গ দুটাৰ বাহুৰ পৰিমাণ উলিওৱা।
Solution
Let,
এটা বৰ্গৰ বাহু = x
আনটো বৰ্গৰ বাহু = y (x>y)
A/Q
x2 + y2 = 468 -------- (i)
4x - 4y = 24
⇒ x - y = 6
⇒ x = y + 6 -------- (ii)
x ৰ মান (i) ত বহুৱাই পাও
(y + 3)2 + y2 = 468
⇒ y2 + 2.y.6 + 62 + y2 - 468 = 0
⇒ 2y2 + 12y + 36 - 468 = 0
⇒ 2y2 + 12y + 36 - 468 = 0
⇒ 2y2 + 12y - 432 = 0 (Divided 2)
⇒ y2 + 6y - 216 = 0
⇒ y2 + 18y - 12y - 216 = 0
⇒ y(y + 18) - 12(y + 18) = 0
⇒ (y - 12)(y + 18) = 0
.'. y - 12 = 0 or y + 18 = 0
⇒ y = 12 or ⇒ y = - 18
y ৰ মান (ii) ত বহুৱাই পাও
x = 12 + 6 = 18
এটা বৰ্গৰ বাহু = 18 m
আনটো বৰ্গৰ বাহু = 12 m
Note
বৰ্গৰ কালি = বাহু2
বৰ্গৰ পৰিসীমা = 4.বাহু
216 = 2 x 2 x 2 x 3 x 3 x 3
12 = 2 x 2 x 3
18 = 2 x 3 x 3
| দ্বিঘাত সমীকৰণ : অনুশীলনী | ||||||
| নিয়ম | MCQ | PYR | 4.1 | 4.2 | 4.3 | 4.4 |
MCQ = Multiple Choice Question
PYR = Previous Year Question
Study Materials
| Assam TET-LP | Assam TET-UP | CTET - Paper 1 |
| CTET - Paper 2 | ADRE Grade 3 | ADRE Grade 4 |
| Assam Police | D.El.Ed | Class 10 |
| Asaam TET-GT | Assam TET-PGT | Class 12 |
Design & Developed by Assam TET Academy
Copyright © 2026 Assam TET | All rights reserved