Download SCERT Class 10 Advanced Mathematics Exercise 2.2 solutions on Complex Numbers in Assamese Medium. Explore step-by-step explanations and solutions for better understanding. Perfect resource for students preparing for exams in Assam. Get all the answers in Assamese for better comprehension and exam success.
Follow Us
| Join Now | |
| Join Now | |
| Telegram | Join Now |

SCERT Class 10 Adv. Mathematics : Complex Number
অসম মাধ্যমিক শিক্ষা পৰিষদ (SEBA) অসমৰ দশম শ্ৰেণীৰ শিক্ষাৰ বাবে পাঠ্যক্ৰম নিৰ্ধাৰণ, পৰীক্ষা পৰিচালনা আৰু প্ৰমাণপত্ৰ প্ৰদান কৰে। এই পৰ্যায়ত শিক্ষাৰ্থীসকলে বিভিন্ন বিষয় অধ্যয়ন কৰে, যেনেঃ অসমীয়া, ইংৰাজী, গণিত, বিজ্ঞান, সমাজ বিজ্ঞান, আৰু বাণিজ্যিক শিক্ষা। পাঠ্যক্ৰম আৰু পাঠ্যপুথি
SEBA-ৰ দ্বাৰা প্ৰদান কৰা পাঠ্যক্ৰমৰ অধীনত দশম শ্ৰেণীৰ শিক্ষাৰ্থীসকলে নিম্নলিখিত বিষয়সমূহ অধ্যয়ন কৰে
প্ৰতিটো বিষয়ৰ বাবে SEBA-ৰ দ্বাৰা নিৰ্ধাৰিত পাঠ্যপুথি ব্যৱহাৰ কৰা হয়। এই পাঠ্যপুথিসমূহ SEBA-ৰ চৰকাৰী ৱেবছাইটত উপলব্ধ।

Mathematics : জটিল সংখ্যা : Exercise 2.2
1. তলত দিয়া প্রতিটো জটিল সংখ্যাৰে সংযুগ্ম আৰু প্ৰতিক্রম (বা গুণাত্মক বিপৰীত) নির্ণয় কৰা
(a) - i
.png)
(b) i
.png)
(c) 2 + i
.png)
(d) 1/3 + i
.png)
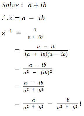
(e) a + ib
.png)
YouTube Channel
| Assam TET Academy | Subscribe Now |
| Assam Job Portal | Subscribe Now |
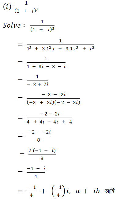
2. a + ib আকৰত প্ৰকাশ কৰা -
.png)
.png)
.png)
(iv) (1 + i)2 - (2 + i)2
Solve :
(1 + i)2 - (2 + i)2
= 1 + 2i + i2 - (4 + 4i + i2)
= 1 + 2i - 1 - 4 - 4i + 1
= - 3 - 2i
= - 3 + (-2)i, a + ib আৰ্হি
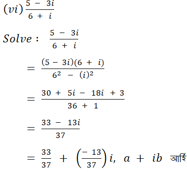
(v) (3 + 4i)(12 - 5i)
Solve :
(3 + 4i)(12 - 5i)
= 36 - 15i + 48i + 20
= 56 + 33i, a + ib আৰ্হি
.png)
.png)
3. (a) যদি z1 = 1 + i আৰু z2 = 1 - i, তেন্তে z1/z2 আৰু z1/z2 উলিওৱা।
Solve :
Given,
z1 = 1 + i
z2 = 1 - i
z1 = 1 - i
z2 = 1 + i
i.png)
and
ii.png)
(b) যদি z1 = 7 + 3i আৰু z2 = 3i - 7 তেন্তে তলত দিয়া বিলাক নির্ণয় কৰা -
z1.z2, z1/z2, z1.z2, z1/z2 আৰু z1z2
Solve :
Given,
z1 = 7 + 3i
z2 = 3i - 7 = - 7 + 3i
z1 = 7 - 3i
z2 = - 7 - 3i
.'. z1z2 = (7 + 3i)(- 7 + 3i)
= - 49 + 21i - 21i - 9
= - 58
.'. z1.z2 = (7 - 3i)(-7 - 3i)
= - 49 - 21i + 21i - 9
= - 58
i.png)
ii.png)
.'. z1z2 = (7 + 3i)(- 7 - 3i)
= - 49 - 21i - 21i + 9
= - 40 - 42i
= - 40 + (- 42)i

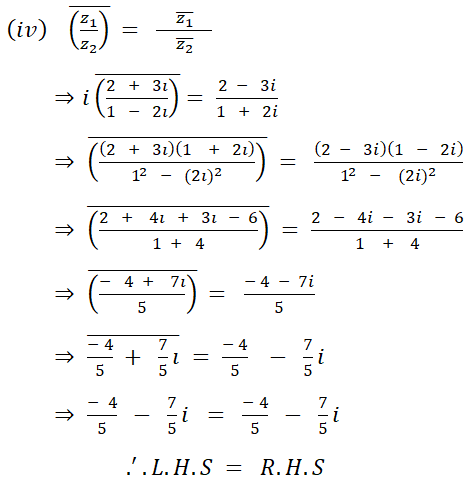
4. যদি z1 = 2 + 3i আৰু z2 = 1 - 2i তেনেহ'লে তলত দিয়াবিলাক সত্যাপন কৰি চোৱা।
(i) z1 + z2 = z1 + z2
Solve :
Given,
z1 = 2 + 3i
z2 = 1 - 2i
z1 + z2 = z1 + z2
⇒ 2 + 3i + 1 - 2i = 2 + 3i + 1 - 2i
⇒ 3 + i = 2 - 3i + 1 + 2i
⇒ 3 - i = 3 - i
.'. L.H.S = R.H.S
(ii) z1 - z2 = z1 - z2
Solve :
Given,
z1 = 2 + 3i
z2 = 1 - 2i
z1 - z2 = z1 - z2
⇒ 2 + 3i - (1 - 2i) = 2 + 3i - (1 - 2i)
⇒ 2 + 3i - 1 + 2i) = 2 - 3i - (1 + 2i)
⇒ 1 + 5i = 2 - 3i - 1 - 2i
⇒ 1 - 5i = 1 - 5i
.'. L.H.S = R.H.S
(iii) z1.z2 = z1.z2
Solve :
Given,
z1 = 2 + 3i
z2 = 1 - 2i
z1.z2 = z1.z2
⇒ (2 + 3i)(1 - 2i) = (2 + 3i).(1 - 2i)
⇒ 2 - 4i + 3i + 6 = (2 - 3i).(1 + 2i)
⇒ 8 - i = 2 + 4i - 3i + 6
⇒ 8 + i = 8 + i
.'. L.H.S = R.H.S

5. (a) যদি z1 = 2 + i আৰু z2 = 1 - 3i তেন্তে z1z2 আৰু z1z2 নির্ণয় কৰা। সত্যাপন কৰা যে ইহঁত পৰস্পৰ সংযুগ্ম।
Solve :
Given,
z1 = 2 + i
z2 = 1 - 3i
z1 = 2 - i
z2 = 1 + 3i
.'. z1z2 = (2 + i)(1 + 3i)
= 2 + 6i + i - 3
= - 1 + 7i ........ (i)
.'. z1z2 = (2 - i)(1 - 3i)
= 2 - 6i - i - 3
= - 1 - 7i ........ (ii)
.'. (i) আৰু (ii) ৰ পৰা,
- 1 + 7i আৰু - 1 - 7i ইহঁত পৰস্পৰ সংযুগ্ম।
(b) যিকোনো দুটা জটিল সংখ্যা z1 আৰু 2 ৰ বাবে z1z2 আৰু z1z2 এটা আনটোৰ সংযুগ্ম হয়নে পৰীক্ষা কৰা ।
Solve :
Let,
z1 = a + ib, z1 = a - ib
z2 = c + id, z2 = c - id
.'. z1z2 = (a + ib)(c - id)
= ac - adi + bci + bd
= (ac + bd) - (ad - bc)i -------- (1)
.'. z1z2 = (a - ib)(c + id)
= ac + adi - bci + bd
= (ac + bd) + (ad - bc)i -------- (2)
.'. (1) আৰু (2) ৰ পৰা,
z1z2 আৰু z1z2 এটা আনটোৰ সংযুগ্ম |
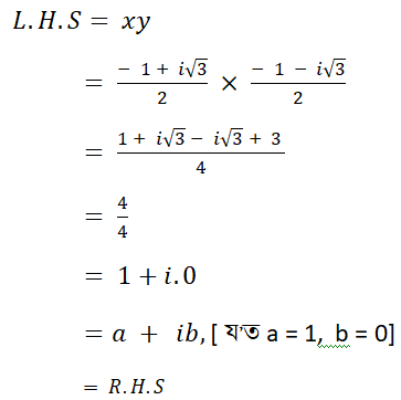
6. যদি 2x = -1 + i√3 আৰু 2y = - 1 - i√3 তেন্তে দেখুওৱা যে -
(i) x2 = y
(ii) xy = a + ib য'ত a = 1, b = 0
(iii) y ৰ গুণাত্মক বিপৰীত x আৰু বিপৰীতভাবে x ৰ গুণাত্মক বিপৰীত y ।
Solve :
Given,
2x = - 1 + i√3
⇒ x = (- 1 + i√3)/2
and
2y = - 1 - i√3
y = (- 1 - i√3)/2
(i) x2 = y
(ii) xy = a + ib য'ত a = 1, b = 0
.png)
(iii) y ৰ গুণাত্মক বিপৰীত x আৰু বিপৰীতভাবে x ৰ গুণাত্মক বিপৰীত y ।
y ৰ গুণাত্মক বিপৰীত -
| = |
2 - 1 - i√3
|
| = |
2(- 1 + i√3) 1 + 3
|
| = |
2(- 1 + i√3) 4
|
| = |
- 1 + i√3 2
|
| = | x |
x ৰ গুণাত্মক বিপৰীত -
| = |
2 - 1 + i√3
|
| = |
2(- 1 - i√3) 1 + 3
|
| = |
2(- 1 - i√3) 4
|
| = |
- 1 - i√3 2
|
| = | y |
7. তলৰ সমীকৰণবোৰ সমাধা কৰা -
(i) (3x + 5i) - 4y = 10 + (x - 3y)i
Solve :
Given,
(3x + 5i) - 4y = 10 + (x - 3y)i
⇒ (3x - 4y) + 5i = 10 + (x - 3y)i
.'. 3x - 4y = 10 -------- (i)
আৰু
x - 3y = 5 -------- (ii)
.'. (ii) × 3 = 3x - 9y = 15 -------- (iii)
.'. (i) - (iii) ⇒ 3x - 4y - (3x - 9y) = 10 - 15
⇒ 3x - 4y - 3x + 9y = - 5
⇒ 5y = - 5
⇒ y = - 1
y ৰ মান (ii) ত
x - 3.(- 1) = 5
⇒ x = 5 - 3
⇒ x = 2
.'. x = 2 আৰু y = - 1
(ii) (x + iy) + (3 - 2i)= 1 + 4i
Solve :
Given,
(x + iy) + (3 - 2i)= 1 + 4i
⇒ (x + 3) + (y - 2)i = 1 + 4i
.'. x + 3 = 1
⇒ x = 1 - 3
⇒ x = - 2
.'. y - 2 = 4
⇒ y = 6
.'. x = - 2 আৰু y = 6
(iii) (1 + i)x +(1 - i)y = 1 - 3i
Solve :
Given,
(1 + i)x +(1 - i)y = 1 - 3i
⇒ x + ix + y - iy = 1 - 3i
⇒ (x + y) + (x - y) = 1 + (-3)i
.'. x + y = 1 -------- (i)
x - y = - 3 -------- (ii)
.'. (i) + (ii) ⇒ x + y + x - y = 1 - 3
⇒ 2x = - 2
⇒ x = - 1
x ৰ মান (i) ত
- 1 + y = 1
⇒ y = 2
.'. x = - 1 আৰু y = 2
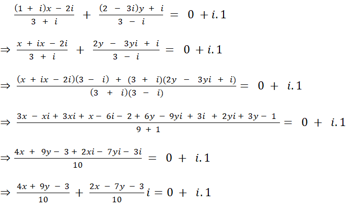
(iv)

.'. (4x + 9y - 3)/10 = 0
⇒ 4x + 9y - 3 = 0
⇒ 4x + 9y = 3 --------------- (1)
(2x - 7y - 3)/10 = 1
⇒ 2x - 7y - 3 = 10
⇒ 2x - 7y = 13 ----------------- (2)
(1) x 2 ⇒ 8x + 18y = 6
(2) x 4 ⇒ 8x - 28y = 52
+ 46y = - 46
⇒ y = - 1
y ৰ মান (2) ত
2x - 7.(- 1) = 13
⇒ 2x = 13 - 7
⇒ 2x = 6
⇒ x = 3
.'. x = 3 আৰু y = - 1
৪. যদি √(a + ib) = x + iy তেন্তে দেখুওৱা √(a - ib) = x - iy.
Solve :
Given,
√(a + ib) = x + iy
⇒ a + ib = (x + iy)2
⇒ a + ib = x2 + 2xyi - y2
⇒ a + ib = x2 - y2 + 2xyi
.'. a = x2 - y2 আৰু b = 2xy
Now,
a - ib = x2 - y2 - 2xyi
⇒ a - ib = x2 + (iy)2 - 2xyi
⇒ a - ib = (x - iy)2
⇒ √(a - ib) = x - iy, Proved
9. যদি 2a + ib ৰ সংযুগ্ম জটিল (a + 4) - i(a + 2b) তেন্তে a আৰু b ৰ মান উলিওৱা।
Solve :
Given,
2a + ib ৰ সংযুগ্ম = 2a - ib
A/Q,
2a - ib = a + 4 - i(a + 2b)
.'. 2a = a + 4
⇒ a = 4 ---------- (1)
and,
- b = - 4 - 2b
⇒ b = - 4
10. তলৰ জটিল সংখ্যাবিলাকৰ যোগাত্মক আৰু গুণাত্মক বিপৰীত নিৰ্ণয় কৰা।
(i) - 4 + i
(ii) (2 + i)(3 - 2i)
(i) - 4 + i
Solve :
Given,
z = - 4 + i
.'. - z = 4 - i
and

(ii) (2 + i)(3 - 2i)
= 6 - 4i + 3i + 2
= 8 - i
.'. z = - 8 + i
and

11. যদি z1 আৰু 2 যিকোনো দুটা জটিল সংখ্যা তেন্তে আমি লিখিব পাৰো নে যে
(a) Re(z1z2) = Re(z1)Re(z2) - Im(z1)Im(z2)
Solve :
Let,
z1 = a + ib
z2 = c + id
.'. z1z1 = (a + ib)(c + id)
= ac + adi + bci - bd
= (ac - bd) + (ad + bc)
Re(z1z2) = ac - bd
Im(z1z2) = ad + bc
.'. L.H.S = Re(z1z2)
= ac - bd
= Re(z1)Re(z2) - Im(z1)Im(z2)
= R.H.S
.'. L.H.S = R.H.S
(b) Im(z1z2) = Re(z1)Im(z2) + Im(z1)Re(z2)
.'. L.H.S = Im(z1z2)
= ad + bc
= Re(z1)Im(z2) + Im(z1)Re(z2)
= R.H.S
.'. L.H.S = R.H.S
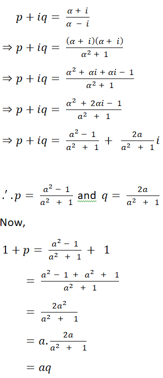
12. (i) যদি p + iq = (α + i)/(α - i) তেন্তে দেখুওৱা যে αq = 1 + p.

(ii) যদি x + iy = (a + ib)2 তেন্তে x² + y² ৰ মান উলিওৱা।
Solve :
Given,
x + iy = (a + ib)2
⇒ x + iy = a2 + 2abi - b2
⇒ x + iy = (a2 - b2) + 2abi
.'. x = a2 - b2 and y = 2ab
.'. x2 + y2 = (a2 - b2)2 + (2ab)2
= (a2 - b2)2 + 4a2b2
= (a2)2 - 2a2b2 + (b2)2 + 4a2b2
= (a2)2 + (b2)2 + 2a2b2
= (a2 + b2)2
Study Materials (AssamTET.com)
| Assam TET-LP | Assam TET-UP | CTET - Paper 1 |
| CTET - Paper 2 | ADRE Grade 3 | ADRE Grade 4 |
| Assam Police | D.El.Ed | Class 10 |
| Asaam TET-GT | Assam TET-PGT | Class 12 |
Design & Developed by Assam TET Academy
Copyright © 2026 Assam TET | All rights reserved