SCERT Class 10 Advanced Mathematics জটিল সংখ্যা Exercise 2.1 সমাধান (Assamese Medium) – এখানে অসমীয়া মাধ্যমৰ বাবে জটিল সংখ্যাৰ অধ্যায়ৰ সম্পূৰ্ণ সমাধান উপলব্ধ। অধ্যায়ভিত্তিক স্পষ্ট ব্যাখ্যা আৰু ধাপে ধাপে সমাধানৰ সহায়ত অধ্যয়ন কৰক।
Follow Us
| Join Now | |
| Join Now | |
| Telegram | Join Now |

SCERT Class 10 Adv. Mathematics : Complex Numbers
অসম মাধ্যমিক শিক্ষা পৰিষদ (SEBA) অসমৰ দশম শ্ৰেণীৰ শিক্ষাৰ বাবে পাঠ্যক্ৰম নিৰ্ধাৰণ, পৰীক্ষা পৰিচালনা আৰু প্ৰমাণপত্ৰ প্ৰদান কৰে। এই পৰ্যায়ত শিক্ষাৰ্থীসকলে বিভিন্ন বিষয় অধ্যয়ন কৰে, যেনেঃ অসমীয়া, ইংৰাজী, গণিত, বিজ্ঞান, সমাজ বিজ্ঞান, আৰু বাণিজ্যিক শিক্ষা। পাঠ্যক্ৰম আৰু পাঠ্যপুথি
SEBA-ৰ দ্বাৰা প্ৰদান কৰা পাঠ্যক্ৰমৰ অধীনত দশম শ্ৰেণীৰ শিক্ষাৰ্থীসকলে নিম্নলিখিত বিষয়সমূহ অধ্যয়ন কৰে
প্ৰতিটো বিষয়ৰ বাবে SEBA-ৰ দ্বাৰা নিৰ্ধাৰিত পাঠ্যপুথি ব্যৱহাৰ কৰা হয়। এই পাঠ্যপুথিসমূহ SEBA-ৰ চৰকাৰী ৱেবছাইটত উপলব্ধ।

জটিল সংখ্যা (অনুশীলনী - 2.1 )
1. তলত দিয়াবিলাকৰ পৰা কাল্পনিক সংখ্যাবিলাক বাছি উলিওৱা -
(a) √-9
Solve :
√-9
= √-1 x √9
= i3
.'. প্ৰদত্ত সংখ্যাটো কাল্পনিক সংখ্যা |
(b) √-7 x √5
Solve :
√-7 x √5
= √-1 x √7 x √5
= i√35
.'. প্ৰদত্ত সংখ্যাটো কাল্পনিক সংখ্যা |
(c) √-3 x √-4
Solve :
√-3 x √-4
= i√3 x i√4 ('.' √-1 = i)
= i√3 x i2 ('.' i.i = - 1)
= -2√3
.'. প্ৰদত্ত সংখ্যাটো কাল্পনিক সংখ্যা নহয়|
(d) √2√16
Solve :
√2√16
= √32
.'. প্ৰদত্ত সংখ্যাটো কাল্পনিক সংখ্যা নহয় |
(e) i12
Solve :
i12
= (i4)3
= i3
= 1
.'. প্ৰদত্ত সংখ্যাটো কাল্পনিক সংখ্যা নহয়|
(f) (√2√-1)8
Solve :
(√2√-1)8
= (√2)8 x (√-1)8
= {(√2)2}4 x i8
= 16 x 1
= 16
.'. প্ৰদত্ত সংখ্যাটো কাল্পনিক সংখ্যা নহয়|
(g) (√-1√-5)3
Solve :
(√-1.√-5)3
= (√-1)3 x (√5 x √-1)3
= i3 x i3 x (√5)3
= (- i) x (- i) x 5√5
= i2. 5√5
= - 1 x 5√5
= - 5√5
.'. প্ৰদত্ত সংখ্যাটো কাল্পনিক সংখ্যা নহয়|
(h) (-i)3(-i)4
Solve :
(-i)3.(-i)4
= {(- 1)3.(i)3}.{(- 1)4.(i)4}
= {(- 1). (i)2.i}.{1.[(i)2]2}
= {(- 1).(- 1).i}.{1.(- 1)2}
= {i}.{1}
= i
.'. প্ৰদত্ত সংখ্যাটো কাল্পনিক সংখ্যা |
2. সৰল কৰা -
(i) i35 + 1/i31
Solve :
i35 + 1/i31
= i34.i + 1/i30.i
= (i2)17.i + 1/(i2)15.i
= (-1)17.i + 1/(-1)15.i
=(-1).i + 1/(-1).i
= - i + 1/(-i)
= - i + i ('.' i = -1/i)
= 0
(ii) (1 +i)(1 + i)2
Solve :
(1 +i)(1 + i)2
= (1 + i)(1 + 2i + i2)
= (1 + i)(1 + 2i - 1)
= (1 + i)(2i)
= 2i - 2
= 2(i - 1)
(iii) (1 + i)(1 + i2)(1 + i3)(1 + i4)
Solve :
(1 + i)(1 + i2)(1 + i3)(1 + i4)
= (1 + i)(1 - 1)(1 + i2.i)(1 + i2.i2)
= (1 + i).0.(1 - 1)(1 + 1)
= 0
(iv) i38 + i18
Solve :
i38 + i18
= (i2)19 + (i2)9
= (- 1)19 + (- 1)9
= - 1 + (- 1)
= - 1 - 1
= - 2
(v) 1√-1 x 2√-2 x 3√-3 x 4√-4
Solve :
1√-1 x 2√-2 x 3√-3 x 4√-4
= 1.i x 2.(√-1.√2) x 3.(√-1.√3) x 4(√-1.√4)
= i.2.i.√2.3.i.√3.4.i.√4
= 48√6
YouTube Channel
| Assam TET Academy | Subscribe Now |
| Assam Job Portal | Subscribe Now |
3. তলৰ প্ৰতিটো সংখ্যা a + ib আৰ্হিত প্ৰকাশ কৰা -
(i) 2 - √-5
Solve :
2 - √-5
= 2 - i√5
= 2 + i(-√5), a + ib আৰ্হি
(ii) √-3 - √3
Solve :
√-3 - √3
= i√3 - √3
= - √3 + -√3, a + ib আৰ্হি
(iii) 2 x √-2 x √-1
Solve :
2 x √-2 x √-1
= 2.i.√2.i.√1
= 2.(-1).√2
= -2√2 + i.0, a + ib আৰ্হি
(iv) 1/i x (-1)3/2
Solve :
1/i x (-1)3/2
= i/i2 x (-1)/2
= i/(-1) x (-1)/2
= i/2
= 0 + i.(1/2), a + ib আৰ্হি
(v) (√-2 - √-3)2
Solve :
(√-2 - √-3)2
= (√-2)2 - 2.√-2.√-3 + (√-3)2
= (i√2)2 - 2.√6 + (i√3)2
= (-1)2 - 2√6 + (-1).3
= - 2 - 2√6 - 3
= - 5 - 2√6
= (- 5 - 2√6) + i.0, a + ib আৰ্হি
(vi) √-6/√-2
Solve :
√-6/√-2
= (i√6)/(i√2)
= (√2.√3)/(√2)
= √3
= √3 + i.0, a + ib আৰ্হি
(vii) (-1 x √-1)4n + 3, য'ত এটা ধনাত্মক অখণ্ড সংখ্যা
Solve :
(-1 x √-1)4n + 3
= (-1 x i√1)4n + 3
= (-i)4n + 3
= (-i)4n x (-i)3
= (-i4)n x i
= 1 x i
= 0 + i, a + ib আৰ্হি
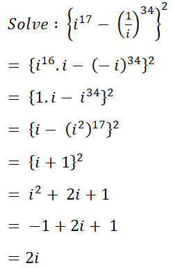
4. তলত দিয়াবিলাকৰ মান নিৰ্ণয় কৰা -

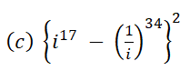
.png)
(b) 1 + i10 + i100 - i1000
Solve :
1 + i10 + i100 - i1000
= 1 + (i2)5 + (i2)50 - (i2)500
= 1 + (- 1)5 + (- 1)50 - (- 1)500
= 1 - 1 + 1 - 1
= 0

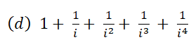
.png)


.png)
5. (a) আটাইতকৈ সৰু ধনাত্মক অখণ্ড সংখ্যা n নিৰ্ণয় কৰা যাৰ বাবে (1 + i)2n = (1 - i)2n সমতাটো সিদ্ধ হয়
Solve :
(1 + i)2n = (1 - i)2n
⇒ {(1 + i)2}n = {(1 - i)2}n
⇒ (1 + 2i + i2)n = (1 - 2i + i2)n
⇒ (1 + 2i - 1)n = (1 - 2i - 1)n
⇒ (2i)n = (- 2i)n
⇒ (2i)n = (- 1)n(2i)n
⇒ 1 = (- 1)n
⇒ (- 1)2 = (- 1)n
⇒ 2 = n
⇒ n = 2
(b) যদি n এটা ধনাত্মক অখণ্ড সংখ্যা তেন্তে দেখুওৱা যে (1 - i)n(1 - 1/i)n = 2n
Solve :
LHS = (1 - i)n(1 - 1/i)n
= (1 - i)n.(1 + i)n ['.' i2 = - 1]
= {(1 - i)(1 + i)}n
= (1 - i2)n
= (1 + 1)n
= 2n
= RHS
.'. LHS = RHS
6. z1 + z2, z1 - z2 আৰু z1z2 নিৰ্ণয় কৰা, যদিহে z1 আৰু z2 তলত দিয়া ধৰণৰ হয়
(a) z1 = 3 - 4i,
z2 = - 2 + i
Solve :
Given,
z1 = 3 - 4i,
z2 = - 2 + i,
.'. z1 + z2 = 3 - 4i + (- 2 + i)
= 3 - 4i - 2 + i
= 1 - 3i
.'. z1 - z2 = 3 - 4i - (- 2 + i)
= 3 - 4i + 2 - i
= 5 - 5i
.'. z1.z2 = (3 - 4i).(- 2 + i)
= - 6 + 3i + 8i - 4i2
= - 6 + 11i + 4
= - 2 + 11i
(b) z1 = 2 - i,
z2 = - 2 - i
Solve :
Given,
z1 = 2 - i,
z2 = - 2 - i
.'. z1 + z2 = 2 - i + (- 2 - i)
= 2 - i - 2 - i
= - 2i
.'. z1 - z2 = 2 - i - (- 2 - i)
= 2 - i + 2 + i
= 4
.'. z1.z2 = (2 - i).(- 2 - i)
= - 4 - 2i + 2i + i2
= - 4 - 2i + 2i - 1
= - 5
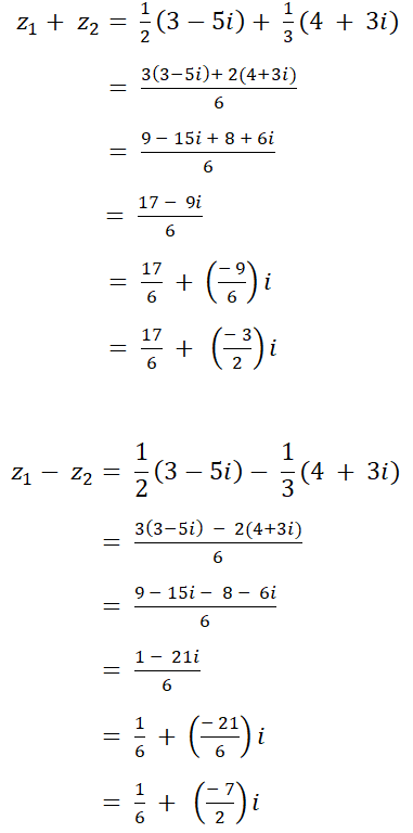
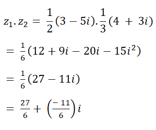
(c) z1 = 1/2(3 - 5i),
z2 = 1/3(4 + 3i)
Solve :
Given,
z1 = 1/2(3 - 5i),
z2 = 1/3(4 + 3i)
_1.png)
_2.png)
(d) z1 = 7 + 3i,
z2 = 3i - 7
Solve :
Given,
z1 = 7 + 3i,
z2 = 3i - 7
.'. z1 + z2 = 7 + 3i + 3i - 7
= 6i
.'. z1 - z2 = 7 + 3i - (3i - 7)
= 7 + 3i - 3i + 7
= 14
.'. z1.z2 = (7 + 3i).(3i - 7)
= 21i - 49 + 9i>sup>2 - 21i
= - 49 - 9
= - 58
(e) z1 = (2 + 3i)(1 - 5i),
z2 = (1 + i)(3 - i)
Solve :
Given,
z1 = (2 + 3i)(1 - 5i)
= 2 - 10i + 3i + 15
= 17 - 7i
z2 = (1 + i)(3 - i)
= 3 - i + 3i + 1
= 4 + 2i
.'. z1 + z2 = 17 - 7i + 4 + 2i
= 21 - 5i
.'. z1 - z2 = 17 - 7i - (4 + 2i)
= 17 - 7i - 4 - 2i
= 13 - 9i
.'. z1.z2 = (17 - 7i).(4 + 2i)
= 68 + 34i - 28i + 14
= 82 + 16i

7. তলত দিয়া প্ৰতিটো জটিল সংখ্যাকে ক্ৰমিক যোৰৰ যোগফল হিচাপে কৰা
[উদাৰণ হিচাপে, (α, β) = α(1, 0)+ β(0, 1) (Art. 2.2.1 চোৱা)]
(i) - 3 + 5i
Solve : - 3 + 5i
= (- 3, 5)
= - 3(1, 0) + 5(0, 1)
(ii) 3 + i√2
Solve : 3 + i√2
= (3, √2)
= 3(1, 0) + √2(0, 1)
(iii) - 4 - i√3
Solve : - 4 - i√3
= - 4 + (-√3)i
= (-4, -√)
= - 4(1, 0) + (- √3)(0, 1)
(iv) 2
Solve : 2
= 2 + i.0
= (2, 0)
= 2(1, 0) + 0(0, 1)
(v) 2 + √3
Solve : 2 + √3
= (2 + √3) + i.0
= (2 + √3, 0)
= (2 + √3)(1, 0) + 0(0, 1)
(vi) 1/2(3 + 5i)
Solve : 1/2(3 + 5i)
= 3/2 + (5/2)i
= (3/2, 5/2)
= 3/2(1, 0) + 5/2(0, 1)
8. যদি x = 3 + 4i আৰু y = 3 - 4i, তেন্তে তলত দিয়াবিলাকৰ নিৰ্ণয় কৰা -
(i) x2 + xy + y2
Solve :
Given,
x = 3 + 4i
y = 3 - 4i
.'. x + y = 3 + 4i + 3 - 4i
= 6
x - y = 3 + 4i - (3 - 4i)
= 3 + 4i - 3 + 4i
= 8i
xy = (3 + 4i)(3 - 4i)
= 9 - (4i)2
= 9 + 16
= 25
x2 + xy + y2
= x2 + 2xy + y2 - xy
= (x + y)2 - xy
= 62 - 25
= 36 - 25
= 11
(ii) x2 - xy + y2
Solve :
Given,
x = 3 + 4i
y = 3 - 4i
.'. x + y = 3 + 4i + 3 - 4i
= 6
x - y = 3 + 4i - (3 - 4i)
= 3 + 4i - 3 + 4i
= 8i
xy = (3 + 4i)(3 - 4i)
= 9 - (4i)2
= 9 + 16
= 25
x2 - xy + y2
= x2 - 2xy + y2 + xy
= (x - y)2 + xy
= (8i)2 + 25
= - 64 + 25
= - 39
(iii)_1.png)
(iv) x3 + y3
Solve :
Given,
x = 3 + 4i
y = 3 - 4i
.'. x + y = 3 + 4i + 3 - 4i
= 6
x - y = 3 + 4i - (3 - 4i)
= 3 + 4i - 3 + 4i
= 8i
xy = (3 + 4i)(3 - 4i)
= 9 - (4i)2
= 9 + 16
= 25
x3 + y3 = (x + y)(x2 - xy + y2)
= (x + y)(x2 - 2xy + y2 + xy)
= 6.{(x - y)2 + xy}
= 6.{(8i)2 + 25}
= 6.(- 64 + 25)
= 6.(- 39)
= - 234
(v) x2 + y2
Solve :
Given,
x = 3 + 4i
y = 3 - 4i
.'. x + y = 3 + 4i + 3 - 4i
= 6
x - y = 3 + 4i - (3 - 4i)
= 3 + 4i - 3 + 4i
= 8i
xy = (3 + 4i)(3 - 4i)
= 9 - (4i)2
= 9 + 16
= 25
x2 + y2 = x2 + 2xy + y2 - 2xy
= (x + y)2 - 2xy
= 62 - 2.25
= 36 - 50
= - 14
(vi) x3 - y3
Solve :
Given,
x = 3 + 4i
y = 3 - 4i
.'. x + y = 3 + 4i + 3 - 4i
= 6
x - y = 3 + 4i - (3 - 4i)
= 3 + 4i - 3 + 4i
= 8i
xy = (3 + 4i)(3 - 4i)
= 9 - (4i)2
= 9 + 16
= 25
x3 - y3 = (x - y)(x2 + xy + y2)
= (x - y)(x2 + 2xy + y2 - xy)
= (x - y){(x + y)2 - xy}
= 8i.{62 - 25}
= 8i. (36 - 25)
= 8i. 11
= 88i
9. যদি x = 1 - i তেন্তে দেখুওৱা x2 - 2x + 2 = 0
Solve :
Given,
x = 1 - i
⇒ x - 1 = - i
⇒ (x - 1)2 = (- i)2
⇒ x2 - 2x + 1 = - 1
⇒ x2 - 2x + 2 = 0
10. উৎপাদকত প্ৰকাশ কৰা -
(i) x2 + y2
Solve :
x2 + y2
= x2 - (iy)2
= (x + iy)(x - iy)
(ii) a2 - 1 - 2ai
Solve :
a2 - 1 - 2ai
= a2 + i2 - 2.a.i
= (a - i)2
= (a + i)(a - i)
(iii) i6√2 - 7
Solve :
i6√2 - 7
= - 7 + i6√2
= (3i)2 + (√2)2 - 2.3i.√2
= (3i - √2)2
= (3i + √2)(3i - √2)
Study Materials (AssamTET.com)
| Assam TET-LP | Assam TET-UP | CTET - Paper 1 |
| CTET - Paper 2 | ADRE Grade 3 | ADRE Grade 4 |
| Assam Police | D.El.Ed | Class 10 |
| Asaam TET-GT | Assam TET-PGT | Class 12 |
Design & Developed by Assam TET Academy
Copyright © 2026 Assam TET | All rights reserved